• Допоможіть, поясніть як в цьому виразі розкладати і розписувати

    question img

Ответы 1

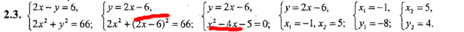
  • 2x^2+(2x-6)^2=66, \\ 2x^2+(4x^2-24x+36)-66=0, \\ 2x^2+4x^2-24x+36-66=0, \\ 6x^2-24x-30=0, \\ x^2-4x-5=0.
  • Добавить свой ответ

Войти через Google

или

Забыли пароль?

У меня нет аккаунта, я хочу Зарегистрироваться

How much to ban the user?
1 hour 1 day 100 years