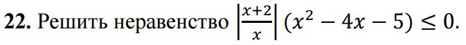
• Решите неравенство.
    Не знаю как решать, помогите пожалуйста.
    Можете тоже на листочек сфоткать и прислать, отмечу как лучший!

    question img

Ответы 2

  • исходное не написал!!!!!!!!!!!
    answer img
    • Автор:

      nemog8ik
    • 6 лет назад
    • 0
  • Решение на фотографии)
    answer img
    • Автор:

      fuller
    • 6 лет назад
    • 0
  • Добавить свой ответ

Еще вопросы

Войти через Google

или

Забыли пароль?

У меня нет аккаунта, я хочу Зарегистрироваться

How much to ban the user?
1 hour 1 day 100 years