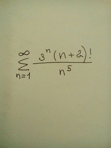
• Помогите пожалуйста!!!Исследовать на сходимость числовой ряд

    question img

Ответы 1

  • вот так кеквот так кеквот так кеквот так кеквот так кеквот так кеквот так кеквот так кеквот так кеквот так кеквот так кеквот так кеквот так кеквот так кеквот так кеквот так кеквот так кеквот так кеквот так кеквот так кеквот так кеквот так кеквот так кеквот так кеквот так кеквот так кеквот так кек
    answer img
  • Добавить свой ответ

Войти через Google

или

Забыли пароль?

У меня нет аккаунта, я хочу Зарегистрироваться

How much to ban the user?
1 hour 1 day 100 years