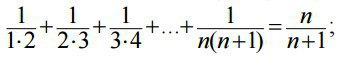
• №1. Пользуясь методом математической
    индукции, доказать, что для любого натурального числа n
    имеет равенство. (см. вложение 1):
    №2. Найти х, используя зависимость между
    компонентами и результатами действий. выполнить проверку
    полученного ответа. (см. вложение 2):

    question img
    question img

Ответы 3

  • Отлично! Еще бы 2-е по возможности.
  • На самом деле, понятия не имею, как делать второе задание, кроме того, чтобы решить влоб
    • Автор:

      vegaglcg
    • 6 лет назад
    • 0
  • №1.База: n = 1:  \frac{1}{1 * 2} =  \frac{1}{1 + 1} Шаг: Допустим, что мы доказали, что наше равенство верно для n = k, то есть  \frac{1}{1 * 2} +  \frac{1}{2 * 3}  +  \frac{1}{3 * 4} + ... +  \frac{1}{k(k + 1)}  =  \frac{k}{k + 1} , теперь докажем, что это верно для n = k + 1, то есть, что \frac{1}{1 * 2} + \frac{1}{2 * 3} + \frac{1}{3 * 4} + ... + \frac{1}{(k + 1)(k + 2)} = \frac{k + 1}{k + 2} Переход: \frac{1}{1 * 2} + \frac{1}{2 * 3} + \frac{1}{3 * 4} + ... + \frac{1}{k(k + 1)} + \frac{1}{(k + 1)(k + 2)} (\frac{1}{1 * 2} + \frac{1}{2 * 3} + \frac{1}{3 * 4} + ... + \frac{1}{k(k + 1)}) + \frac{1}{(k + 1)(k + 2)}( \frac{k}{k + 1}) + \frac{1}{(k + 1)(k + 2)} = \frac{k}{k + 1} + \frac{1}{(k + 1)(k + 2)} =  \frac{k(k + 2)}{(k + 1)(k + 2)} + \frac{1}{(k + 1)(k + 2)}\frac{k(k + 2) + 1}{(k + 1)(k + 2)} = \frac{k^{2} + 2k + 1}{(k + 1)(k + 2)} = \frac{(k + 1)^{2}}{(k + 1)(k + 2)} = \frac{k + 1}{k + 2}. Что и требовалось доказать. Значит для любого числа выполняется это равенство.
  • Добавить свой ответ

Войти через Google

или

Забыли пароль?

У меня нет аккаунта, я хочу Зарегистрироваться

How much to ban the user?
1 hour 1 day 100 years