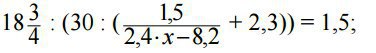
• №1. Вычислить значение выражения. (см. вложение 1):
    №2. Найти значение выражения. (см. вложение 2):
    №3. На основе зависимости между компонентами и
    результатами операций решить уравнение. (см. вложение 3):

    question img
    question img
    question img

Ответы 4

  • Отлично! Спасибо)
    • Автор:

      flybyelba
    • 6 лет назад
    • 0
  • / - скажите, это обозначение дроби или?)о
    • Автор:

      zekeikfi
    • 6 лет назад
    • 0
  • дроби
    • Автор:

      kikiubie
    • 6 лет назад
    • 0
  • 10,42(6)=32/75    0,12(3)=37/3001)0,725+0,6=1,3252)1,325+0,175=1,53)1 1/2+32/75+37/300=1 150/300+128/300+37/300=1 315/300=2 15/300==2 1/20=2,054)0,128*6,25=0,86)0,8+2,875=3,6757)2,05:3,675*0,5=205/100*1000/3675*5/10=41/14721)-19,5:(-4 1/3)=195/10*3/13=4,52)3 5/9-3 1/18=3 10/18-3 1/18=9/18=1/2=0,53)0,7:2 1/3=7/10*3/7=0,34)-0,75-0,3=-1,055)14,7:(1,05)=-146)4,5*0,5=2,257)2,25+14=16,25330:[1,5/(2,4x-8,2)+2,3]=18,75:1,5=12,51,5/(2,4x-8,2)+2,3=30:12,5=2,41,5/(2,4x-8,2)=2,4-2,3=0,12,4x-8,2=1,5:0,1=152,4x=15+8,2=23,2x=23.2:2,4x=232/24=29/3=9 2/3
  • Добавить свой ответ

Войти через Google

или

Забыли пароль?

У меня нет аккаунта, я хочу Зарегистрироваться

How much to ban the user?
1 hour 1 day 100 years