• Каждое вложение идет по порядку задания.
    №1. Не решая уравнения, указать, на каких
    множествах и на основе каких утверждений они равносильны.
    №2. Не решая данные неровности, указать, на каких
    множествах и на основе каких утверждений они равносильны.
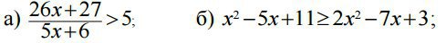
    №3. Решить неровность.

    question img
    question img
    question img

Ответы 2

  • Прекрасно. Спасибо!)
  • 1На множестве (-∞;1) и (1;∞)Если к обеим частям уравнения прибавить (отнять) одно и тоже число,то получим равносильное уравнение2Равносильны только при х=6Если  обе части уравнения умножить (разделить) на одно и тоже число,то получим равносильное уравнение3a)(26x+27)/(5x+6)-5>0(26x+27-25x-30)/(5x+6)>0(x-3)/(5x+6)>0x=3  x=-1,2x∈(-∞;-1,2) U (3;∞)b)2x²-7x+3-x²+5x-11≤0x²-2x-8≤0x1+x2=2 u x1*x2=-8x1=-2 U x2=4x∈[-2;4]
  • Добавить свой ответ

Войти через Google

или

Забыли пароль?

У меня нет аккаунта, я хочу Зарегистрироваться

How much to ban the user?
1 hour 1 day 100 years