• Помогите пожалуйста!!!
    Решите уравнения со степенью, желательно все.

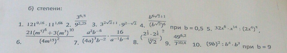
    question img

Ответы 6

  • №9 (7 в степени 12,4):(7 в степени 10,4)=7 в квадрате=49
    • Автор:

      julina
    • 6 лет назад
    • 0
  • А можешь расписать решение всех 3 последних уравнений, если да, то могу еще один похожий вопрос запилить?
  • №10. (81b^2):b^7=(9^2*9^2):9^7=(9^4):(9^7)=9^-3=1:(9^3)=1:729
    • Автор:

      honeybun
    • 6 лет назад
    • 0
  • №8 не решила((
  • Ладно, в любом случае спасибо, обязательно отмечу твой ответ, как лучший)
  • №задания | ответ1                  1212                   93                   2434                   0,55                   166                    67                    4
    answer img
  • Добавить свой ответ

Войти через Google

или

Забыли пароль?

У меня нет аккаунта, я хочу Зарегистрироваться

How much to ban the user?
1 hour 1 day 100 years