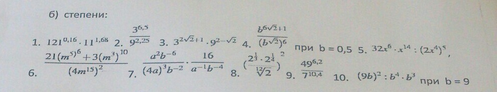
• Помогите пожалуйста!!! Решите 3 последних уравнения со степенями.

    question img

Ответы 2

  • В 9 примере, когда умножаешь 2 на 6,2 получается 14,4, разве не 12,4?
    • Автор:

      leajvr3
    • 6 лет назад
    • 0
  • решение в приложении
    answer img
    • Автор:

      kirsten
    • 6 лет назад
    • 0
  • Добавить свой ответ

Войти через Google

или

Забыли пароль?

У меня нет аккаунта, я хочу Зарегистрироваться

How much to ban the user?
1 hour 1 day 100 years