• Помогите пожалуйста, эта высшая математика выше моих умственных возможностей)))

    question img

Ответы 2

  • Спасибо большое добрый человек!!!))
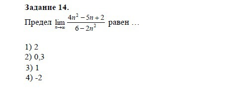
  •  \lim_ n \to \infty} { \frac{4n^2-5n+2}{6-2n^2}= \lim_{n \to \infty}  \frac{ \frac{4n^2}{n^2}-  \frac{5n}{n^2}+  \frac{2}{n^2} }{ \frac{6}{n^2}-  \frac{2n^2}{n^2} }= \frac{4-0+0}{0-2}=-2
  • Добавить свой ответ

Войти через Google

или

Забыли пароль?

У меня нет аккаунта, я хочу Зарегистрироваться

How much to ban the user?
1 hour 1 day 100 years