• Решите пожалуйста задание, моих мозгов не хватает((((

    question img

Ответы 1

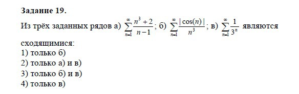
  • 1-ый ряд расходится по необходимому признаку: lim(n -> oo) a(n) > 0Во 2-ом ряду в числителе ограниченная функция - |cos n| ∈ [0; 1],а в знаменателе функция неограниченно возрастает.Эту дробь можно заменить на  \frac{1}{n^3} , а этот ряд сходится.Значит, и исходный тоже сходится.3-ий ряд сходится по признаку Даламбера \lim_{n \to \infty}  \frac{a(n+1)}{a(n)} = \lim_{n \to \infty} ( \frac{1}{3^{n+1}}: \frac{1}{3^n}  )= \lim_{n \to \infty} \frac{3^n}{3^{n+1}} = \frac{1}{3} \ \textless \ 1Ответ: 3) только б) и в)
    • Автор:

      mercedes3
    • 6 лет назад
    • 0
  • Добавить свой ответ

Войти через Google

или

Забыли пароль?

У меня нет аккаунта, я хочу Зарегистрироваться

How much to ban the user?
1 hour 1 day 100 years