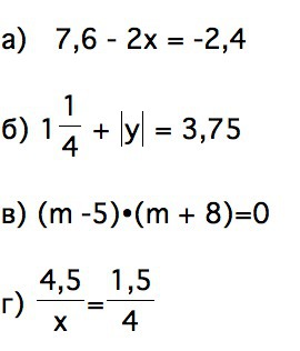
• Решить уравнения(в,г)


    Заранее спасибо ^-^

    question img

Ответы 1

  • а)-2x=-2.4-7.6-2x=-10x=5б)lyl=2.5плюс или минус, т.к модульв)m^2+3m-40=40D=9+160=169m(1,2)=(-3плюсь минус 13)/2=m1=5 m2=-8г)1,5x=18x=12
  • Добавить свой ответ

Войти через Google

или

Забыли пароль?

У меня нет аккаунта, я хочу Зарегистрироваться

How much to ban the user?
1 hour 1 day 100 years