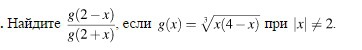
• Помогите решить с подстановкой и модулем задание, пожалуйста

    question img

Ответы 1

  • просто подставляешь вместо х то, что тебя просятполучится вот так
    answer img
  • Добавить свой ответ

Войти через Google

или

Забыли пароль?

У меня нет аккаунта, я хочу Зарегистрироваться

How much to ban the user?
1 hour 1 day 100 years