• Найти производную для заданной функции.
    Исследовать функцию на экстремум и построить ее график.


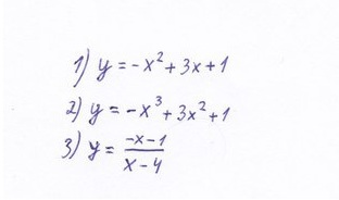
    question img

Ответы 1

  • 1) y'=-2х+3-2х+3=0х=3/2max =3/2возрастает от - бесконечности до 3/2убывает от 3/2 до + бесконечности2)y'=-x^2+6x-x^2+6x=0-3x(x-2)=0x=0x=2минимум - 0максимум 2
  • Добавить свой ответ

Еще вопросы

Войти через Google

или

Забыли пароль?

У меня нет аккаунта, я хочу Зарегистрироваться

How much to ban the user?
1 hour 1 day 100 years