• Пожалуйста, помогите с тригонометрией!
    Вас ждет щедрое вознаграждение ^^

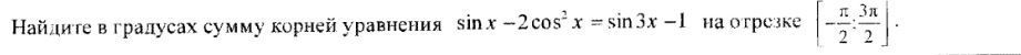
    question img

Ответы 3

  • Спасибо за решение!. Мне непонятно как вы убрали sin3x..
    • Автор:

      zackfqm6
    • 6 лет назад
    • 0
  • sin3x=3sinx-4sin^3x есть такая формула
  • sinx-2(1-sin²x)=3sinx-4sin³x-1обозначим sinx=yy-2+2y²=3y-4y³-14y³+2y²-2y-1=02y²(2y+1)-(2y+1)=0(2y+1)(2y²-1)=0  ,  2y+1=0,     2y²-1=0y=-1/2, y=+-1/√2sinx=-1/2  sinx=+-1/√2на промежутке [-π/2; 3π/2] переведем в градусы [-90°;270°]1) sinx=-1/2  x={-30°,210°}2) sinx=+-1/√2 x={-45°,45°,135°, 225°}-30°+210°-45°+45°+135°+225°=540°
    • Автор:

      ringo8qfc
    • 6 лет назад
    • 0
  • Добавить свой ответ

Еще вопросы

Войти через Google

или

Забыли пароль?

У меня нет аккаунта, я хочу Зарегистрироваться

How much to ban the user?
1 hour 1 day 100 years