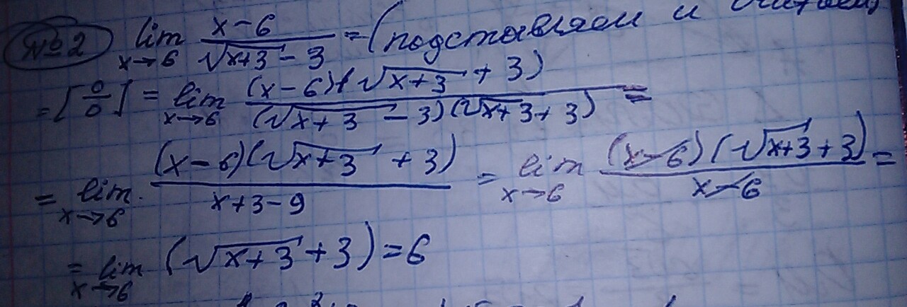
• Вот примерчик, уже с решением. Мне нужно его отчитать, но не знаю, что говорить. SOS!

    question img

Ответы 1

  • 1. подставить предельное значение, получим неопределенность (0/0)2. числитель и знаменатель дроби домножить на выражение сопряженно числителю или знаменателю.выражения  (а-b) и (а+b)называются сопряженными. (a-b)*(a+b)=a²-b²3. преобразовать полученные выражения(умножить, привести подобные или вынести за скобки общий множитель, если это необходимо. это писать не нужно)4. сократить дробь на множитель ,предел которого равен 0.5. вычислить предел полученного выражения
    • Автор:

      weston
    • 6 лет назад
    • 0
  • Добавить свой ответ

Войти через Google

или

Забыли пароль?

У меня нет аккаунта, я хочу Зарегистрироваться

How much to ban the user?
1 hour 1 day 100 years