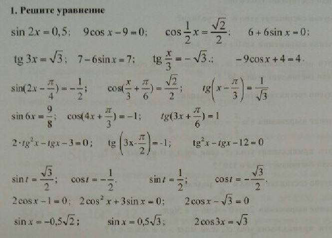
• Задание на фото! Первые 6 уравнений сделаны!
    Заранее спасибо!!!

    question img

Ответы 1

  • tgx/3=-√3⇒x/3=-π/3+πn⇒x=-π+3πn-9cosx+4=4⇒-9cosx=0⇒cosx=0⇒x=π/2+πnsin(2x-π/4)=-1/2⇒2x-π/4=(-1)^narcsin(-1/2)+πn⇒2x=π/4+(-1)^n(-π/6)+πn⇒x=π/8-(-1)^n(π/12)+(πn/2/sin6x=9/8)>1⇒нет решений итд
  • Добавить свой ответ

Войти через Google

или

Забыли пароль?

У меня нет аккаунта, я хочу Зарегистрироваться

How much to ban the user?
1 hour 1 day 100 years