• помогите решить уравнения , пожалуйста
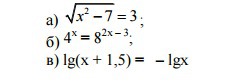
    уравнения на фото

    question img

Ответы 1

  • √ x² - 7 = 3 ( √ x² - 7 )² = 3²ОДЗ : x² - 7 ≥ 0 ; x² ≥ 7x² - 7 = 9 x² = 16 x1 = 4 x2 = - 4 Ответ 4 ; - 4 ----------------------------4 ^ x = 8 ^ 2x - 3 ( 2 ^2 ) ^ x = ( 2 ^ 3 ) ^ 2x - 3 2x = 6x - 9 4x = 9 x = 2,25 Ответ 2,25 -----------------------------lg ( x + 1,5 ) = - lg x ОДЗ x > - 1,5 ; x > 0 lg ( x + 1,5 ) + lg x = 0 lg ( x( x + 1,5 )) = 0 x² + 1,5x = 10⁰x² + 1,5x  - 1 = 0 D = 1,5² + 4 = 6,25 ; √ D = 2,5 x1 = ( - 1,5 - 2,5 ) : 2 = - 2 ( < 0 ) x2 = ( - 1,5 + 2,5 ) : 2 = 0,5 Ответ 0,5
    • Автор:

      milo76
    • 6 лет назад
    • 0
  • Добавить свой ответ

Войти через Google

или

Забыли пароль?

У меня нет аккаунта, я хочу Зарегистрироваться

How much to ban the user?
1 hour 1 day 100 years