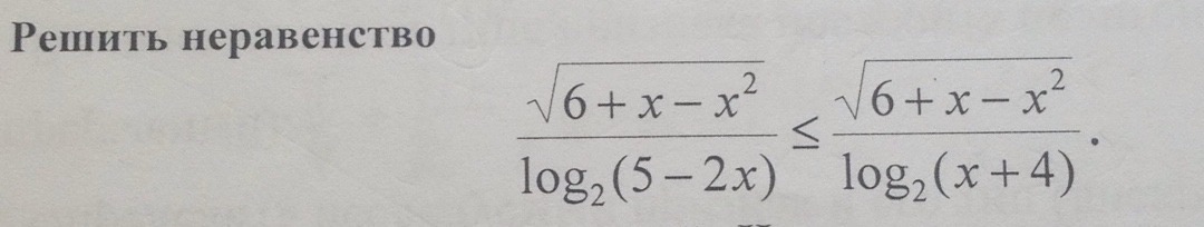
• Решить неравенство. Срочно, пожалуйста, нужна ваша помощь

    question img

Ответы 1

  • Я вам скину пользователя он в этом разберется не жалуйтесь
    • Автор:

      andrea
    • 6 лет назад
    • 0
  • Добавить свой ответ

Еще вопросы

Войти через Google

или

Забыли пароль?

У меня нет аккаунта, я хочу Зарегистрироваться

How much to ban the user?
1 hour 1 day 100 years