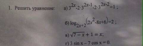
• Помогите решить уравнения, пожалуйста какие сможете, очень прошу

    question img

Ответы 2

  •  во вложении....................
    answer img
    • Автор:

      zack
    • 6 лет назад
    • 0
  • вынесем за скобку 3²ˣ⁻²3²ˣ⁻²(3²ˣ⁻²ˣ⁺² - 2·3²ˣ⁻¹⁻²ˣ⁺²-2·3²ˣ⁻²⁻²ˣ⁺²) = 3⁰3²ˣ⁻²(3² - 2·3¹ - 2·3⁰) = 3⁰3²ˣ⁻²·( 9 - 6 - 2) =3⁰3²ˣ⁻²·1=3⁰2х-2=02х = 2х=1√(7 - х) = х -1 (возведем обе части в квадрат)7 - х = х²-2х+1х² -2х +х +1 -7=0х² -х -6=0D =b²-2ac= 1-4·(-6) = 1+24 =25> 0, 2 корнях₁= (1+5)/2 = 3х₂= (1 -5)/2 = - 2 (сделай проверку) Ответ: 3
    answer img
    • Автор:

      moises
    • 6 лет назад
    • 0
  • Добавить свой ответ

Войти через Google

или

Забыли пароль?

У меня нет аккаунта, я хочу Зарегистрироваться

How much to ban the user?
1 hour 1 day 100 years