Ответы 7

  • Что за дичь?
  • а в чем собственно проблема? одз неверно?
    • Автор:

      nathaniel
    • 6 лет назад
    • 0
  • Ну как тебе сказать. Все что написано - бред. Я вообще не понимаю что ты пытался сделать и зачем.
    • Автор:

      cher
    • 6 лет назад
    • 0
  • можешь пожалуйста показать свое решение, чтоб я понял в чем ошибка и больше не допускал ее.
    • Автор:

      cindytsuc
    • 6 лет назад
    • 0
  • Вечерком запощу решение, если больше никто не решит.
  • 8-2х-х^2>0 , х1 =-4, х2=2.   х+10>0, х1=-10.    2х+9>0  х1 =-4,5   хэ[2,+Бесконечности)
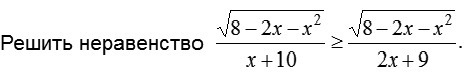
  •   \frac{ \sqrt{8-2x-x^2} }{x+10}  \geq \frac{ \sqrt{8-2x-x^2} }{2x+9} \\ 
 \frac{ \sqrt{8-2x-x^2} }{x+10}  -\frac{ \sqrt{8-2x-x^2} }{2x+9} \geq 0 \\ 
\sqrt{8-2x-x^2}( \frac{1}{x+10} - \frac{1}{2x+9} ) \geq 0 \\ 
\sqrt{8-2x-x^2}( \frac{x-1}{(x+10)(2x+9)} ) \geq 0 \\ 

Разбираемся с ОДЗ. Она задается системой{8-2x-x²≥0{(x+10)(2x+9)≠0Решение системы такое: -4≤x≤2Возвращаемся к неравенству. Корень величина положительная, и на нее можно разделить обе части неравенства перед этим записав его нули x=-4, x=2 (так как знак нестрогий они являются решениями неравенства).Получаем неравенство:\frac{x-1}{(x+10)(2x+9)} \geq 0Которое решается методом интервалов и в пересечение с ОДЗ корня дает решение 1≤x≤2Ответ: x ∈ {-4} ∪ [1; 2]
    • Автор:

      gaugew1mf
    • 6 лет назад
    • 0
  • Добавить свой ответ

Еще вопросы

Войти через Google

или

Забыли пароль?

У меня нет аккаунта, я хочу Зарегистрироваться

How much to ban the user?
1 hour 1 day 100 years