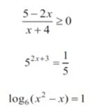
• 1решить неравенстов
    2решить уравнение
    3решить уравнение
    4решить систему

    question img
    question img

Ответы 1

  • 1) 5-2х/х+4>=0.Воспользуемся формулой: P(x)/Q(x)>=0 <=> {P(x)*Q(x)>=0, Q(x) не=0;Имеем: {(х+4)(5-2х)>=0, х+4 не=0 <=> х не=-4 (что по сути и есть наше ОДЗ);Решаем неравенство:(х+4)(5-2х)>=0. Не будем раскрывать скобки, а просто решим неравенство методом интервалов.1. у=(х+4)(5-2х);2. D(y)=(-беск;-4)U(-4;+беск);3. у=0; (х+4)(5-2х)=0 (вот почему мы не раскрывали скобки, потому что сейчас наше уравнение просто распадётся на совокупность уравнений, а так бы нам пришлось решать квадратное уравнение, и мы бы пришли к такому же ответу) <=> [х+4=0, 5-2х=0, <=> [х=-4, х=2,5;4. Наносим нули функции на координатный луч:(точка -4 выколота) — + —------ –4---------2,5-------Определившись со знаками интервалов, мы выяснили, что нам подходит промежуток (-4;2,5]. Вы решили неравенство методом интервалов, выполнив условие, что х не=-4.Ответ: х€(-4;2,5].2. 1/5 запишем как 5^-1 (5^-1=1/5), тогда наше показательное уравнение перейдёт в обычное линейное уравнение, поскольку основания будут одинаковым с обеих сторон уравнения.Имеем: 5^2х+3=5^-1 <=> 2х+3=-1 <=> х=-2.Ответ: -2.3. Для начала найдём ОДЗ, а уже потом будем разбираться с преобразованиями.ОДЗ: х^2-х>0 <=> х(х-1)>0. Решим методом интервалов:1. у=х(х-1);2. D(y)=R;3. y=0, x(x-1)=0 <=> [x=0, х-1=0 <=> [х=0, х=1.4. Наносим нули функции: + - +----0----1----ОДЗ: х€(-беск;0)U(1;+беск).Теперь решаем само уравнение.1 можно расписать как log6(6).Имеем: log6(x^2-x)=log6(6) <=> x^2-x=6 <=> x^2-x-6=0; D=25;х1,2=1+-5/2;х1=3; х2=-2.Оба икса удовлетворяют ОДЗ.Ответ: 3, -2.
    • Автор:

      klausacpb
    • 6 лет назад
    • 0
  • Добавить свой ответ

Войти через Google

или

Забыли пароль?

У меня нет аккаунта, я хочу Зарегистрироваться

How much to ban the user?
1 hour 1 day 100 years