• Нужно упростить до числового выражения, желательно что бы вы написала все решение
    Заранее спасибо)

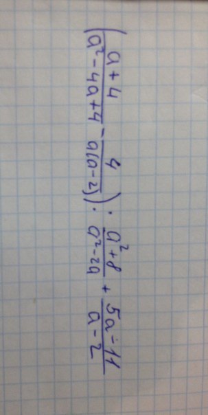
    question img

Ответы 3

  • Спасибо большое)
  • 1) \frac{a+4}{a^2-4a+4}- \frac{4}{a(a-2)}= \frac{a+4}{(a-2)^2}- \frac{4}{a(a-2)}= \frac{a(a+4)-4(a-2)}{a(a-2)^2} = \\  \\ 
= \frac{a^2+4a-4a+8}{a(a-2)^2}= \frac{a^2+8}{a(a-2)^2}      2) \frac{a^2+8}{a(a-2)^2}: \frac{a^2+8}{a^2-2a}= \frac{a^2+8}{a(a-2)^2}* \frac{a(a-2)}{a^2+8}= \frac{1}{a-2}     3) \frac{1}{a-2}+ \frac{5a-11}{a-2}= \frac{1+5a-11}{a-2}= \frac{5a-10}{a-2}= \frac{5(a-2)}{a-2}=5
    • Автор:

      dochegz
    • 6 лет назад
    • 0
  • На фото решение.Ответ: 5
    answer img
  • Добавить свой ответ

Войти через Google

или

Забыли пароль?

У меня нет аккаунта, я хочу Зарегистрироваться

How much to ban the user?
1 hour 1 day 100 years