• Расположите числа в порядке возрастания. Ответ обоснуйте.

    question img

Ответы 1

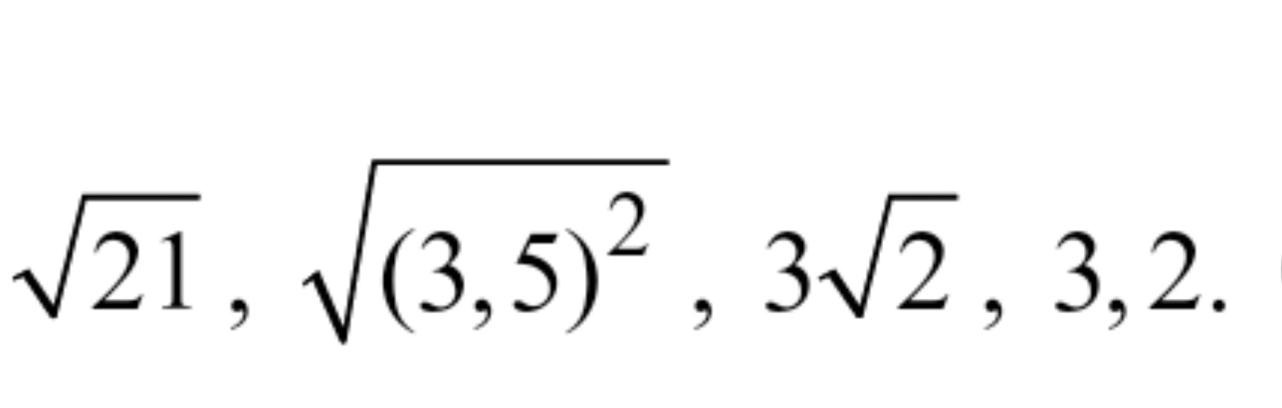
  • √(21)>3√2 , т к √(21)>4,5 , а 3√2<3*1,53√2>√(3,5)²=3,5, т к 3√2>3*1,43,5>3,2
    • Автор:

      brodie94
    • 6 лет назад
    • 0
  • Добавить свой ответ

Войти через Google

или

Забыли пароль?

У меня нет аккаунта, я хочу Зарегистрироваться

How much to ban the user?
1 hour 1 day 100 years