Помогите решить одно неравенство(во вложениях)
Предмет:
МатематикаАвтор:
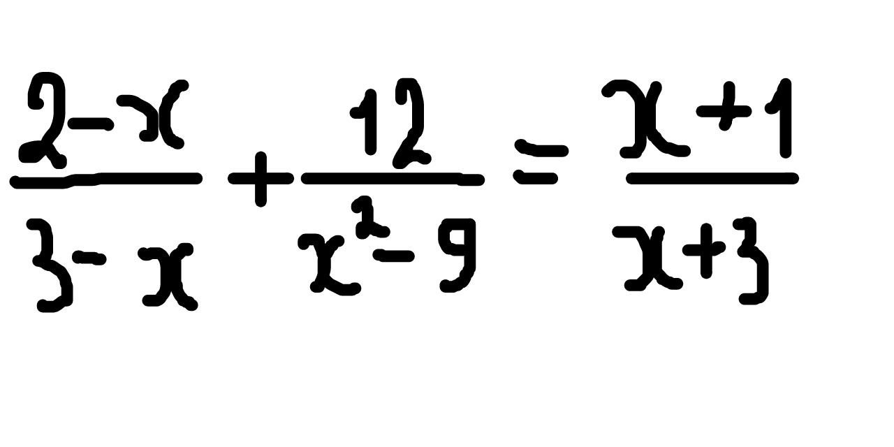
konnor(2-x)/(3-x)+12/(x-3)(x+3)=(x+1)/(x+3)
(2-x)/(3-x)+12/(x-3)(x+3)-(x+1)/(x+3)=0
Приводим к общему знаменателю (х-3)(х+3)
-(2-х)(х+3)+12-(х-3)(х+1)
-------------------------------=0
(х-3)(х+3)
-2х-6+х^2+3х+12-х^2-х+3х+3
-------------------------------------=0. Одз:R, кроме х=+-3
(х-3)(х+3)
3х+9=0
3х=-9
Х=-3 но минус3 не может быть корнем значит корней нет
Автор:
michaeljohnsonx-2 12 x+1
----- + ------------ = ----- ОДЗ:xне=+-3
x-3 (x+3)(x-3) x+3
(x-2)(x+3)+12-(x+1)(x-3)=0
x^2+x-6+12-x^2+2x+3=0
3x+9=0 3x=-9 x=-3 не подходит по ОДЗ
уравнение действительных корней не имеет
Автор:
anselmotssfДобавить свой ответ
5 современных государств?
Предмет:
ОбществознаниеАвтор:
sarax4lkОтветов:
Смотреть
Сколько см^3 в 0,2 км^3 ?
Диагональ прямоугольника равна 2 см и образует со стороной угол 30 градусов.Найдите стороны прямоугольника.(Желательно чтобы правельно было записанно) Спасибо
Предмет:
ГеометрияАвтор:
noelgloverОтветов:
Смотреть
Как понять
f(x) больше 0 при х больше 0
f(x) меньше 0 при х меньше 0
?