• Элементарное преобразование графиков функции, решите плз
    Растяжение и сжатие вдоль оси координат точки

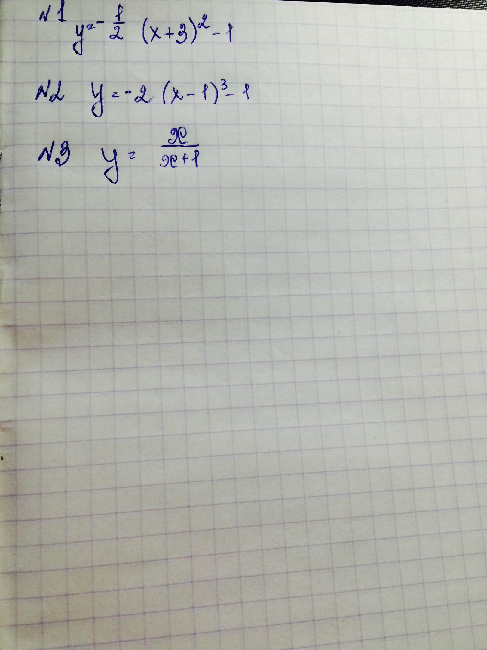
    question img

Ответы 3

  • Спасибо за решение первого, помогите пожалуйста со 2 и 3
  • Третий график по клеткам не нарисовать.
    • Автор:

      shyann
    • 6 лет назад
    • 0
  • Благодарю)
    • Автор:

      griffin5
    • 6 лет назад
    • 0
  • Добавить свой ответ

Войти через Google

или

Забыли пароль?

У меня нет аккаунта, я хочу Зарегистрироваться

How much to ban the user?
1 hour 1 day 100 years