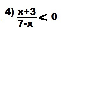
• Решите третий и четвертый пример из самостоятельной

    question img
    question img

Ответы 3

  • а решение можно?
    • Автор:

      milesfox
    • 6 лет назад
    • 0
  • нет
    • Автор:

      con0tlm
    • 6 лет назад
    • 0
  • 1)   Корень из 3=1 и корень 1 =32)x+3=7x меньше 0
    • Автор:

      rayympo
    • 6 лет назад
    • 0
  • Добавить свой ответ

Войти через Google

или

Забыли пароль?

У меня нет аккаунта, я хочу Зарегистрироваться

How much to ban the user?
1 hour 1 day 100 years