• Найдите значение выражения. Можно, пожалуйста, подробнее

    question img

Ответы 1

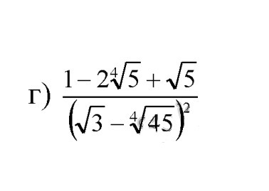
  • 1) воспользуемся формулой (а-b)^2=a^2-2a+b^2, тогда числитель равен (1-корень четвёртой степени из 5)^2,те(1-5^(1/4))^22) преобразуем корень четвёртой степени из 45; 45=9•5, (45)^(1/4)=(9)^(1/4)•(5)^(1/4)=(3)^(1/2)•(5)^(1/4)3) рассмотрим знаменатель (3^(1/2)-3^(1/2)•5^(1/4))^2== (3^(1/2))^2•(1-5^(1/4))^2=3•(1-5^(1/4))^24) разделим числитель на знаменатель, получим 1/3
  • Добавить свой ответ

Войти через Google

или

Забыли пароль?

У меня нет аккаунта, я хочу Зарегистрироваться

How much to ban the user?
1 hour 1 day 100 years