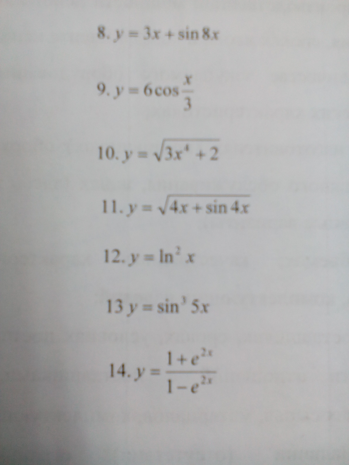
• Производная сложной фукции. Помогите пожалуйста!!!!

    question img

Ответы 4

  • спасибо
  • я думаю да правильные....
  • хорошо
    • Автор:

      arias
    • 6 лет назад
    • 0
  • Производная сложной функции. Помогите пожалуйста!!!!
    answer img
    • Автор:

      pace
    • 6 лет назад
    • 0
  • Добавить свой ответ

Войти через Google

или

Забыли пароль?

У меня нет аккаунта, я хочу Зарегистрироваться

How much to ban the user?
1 hour 1 day 100 years