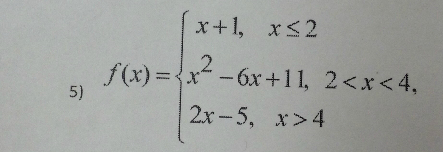
• Исследовать функцию на непрерывность, построить ее график и установить характер точек разрыва. ДАЮ 35 БАЛЛОВ.РЕШИТЕ ПЛИЗ

    question img

Ответы 1

  •   1-x                    при x<0 y=  x2+1  при 0<=x<=2 (меньше или равно, больше или равно)     Ln(x-1)              при x>2
    • Автор:

      riley36
    • 6 лет назад
    • 0
  • Добавить свой ответ

Войти через Google

или

Забыли пароль?

У меня нет аккаунта, я хочу Зарегистрироваться

How much to ban the user?
1 hour 1 day 100 years