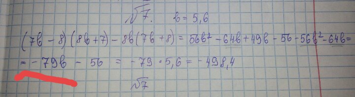
• Рбята!!! Решение есть, просто обьесните откуда -79b ?

    question img

Ответы 1

  • (7b-8)(8b+7)-8b(7b+8)=56b^2+49b-64b-56-56b^2-64b=49b-64b-64b-56=-79b-56 вот откуда -79
    • Автор:

      ozzietmg1
    • 6 лет назад
    • 0
  • Добавить свой ответ

Войти через Google

или

Забыли пароль?

У меня нет аккаунта, я хочу Зарегистрироваться

How much to ban the user?
1 hour 1 day 100 years