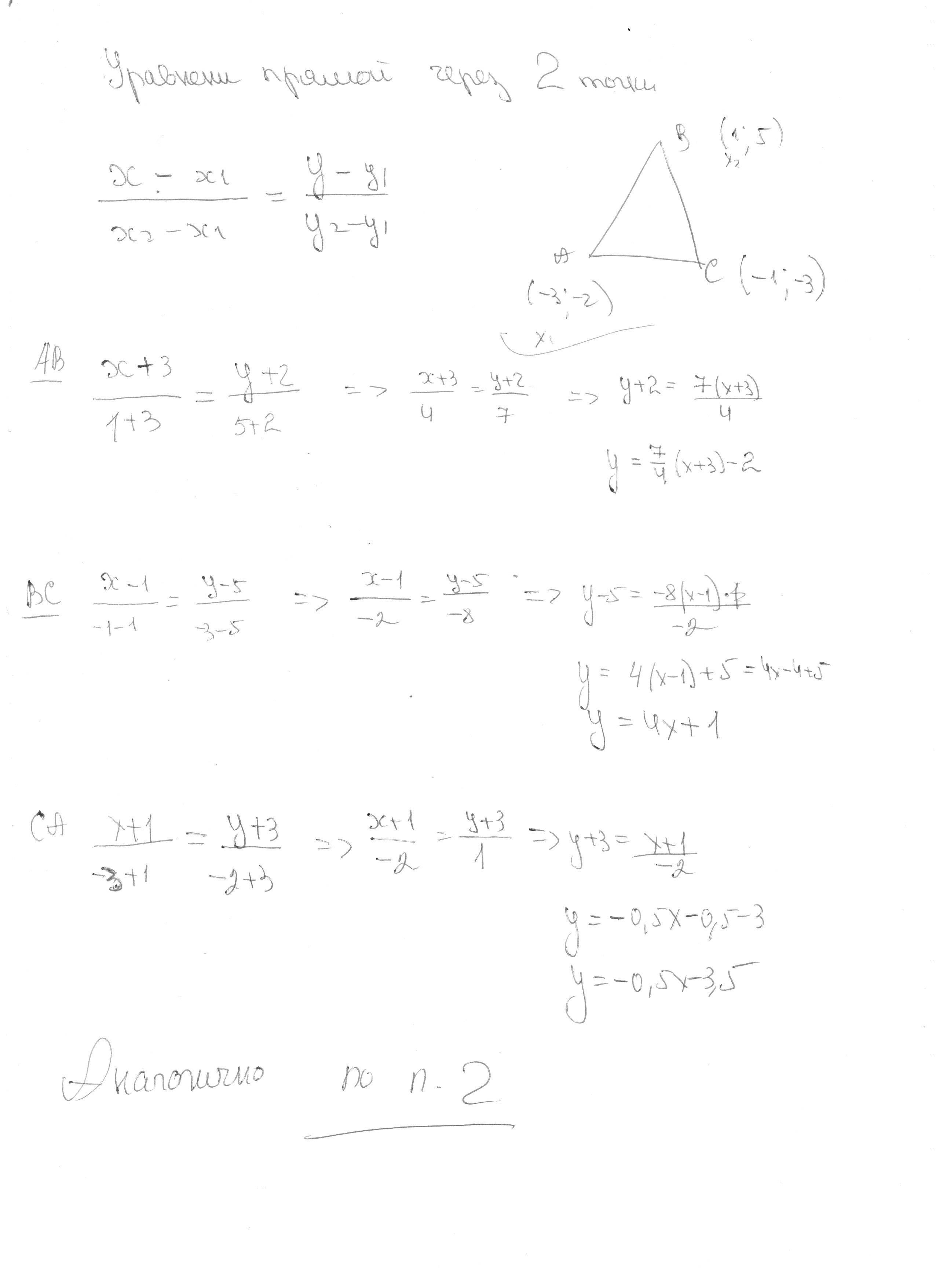
• составьте уравнение сторон треугольника вершинами которого служат точки: 1) A (-3; -2), B (1; 5) и C (-1; -3); 2) (-1; -3), (3; 5) и (4; 0)

Ответы 1

  • По первому пункту файл. По второму пункту аналогично подставляем координаты
    answer img
  • Добавить свой ответ

Войти через Google

или

Забыли пароль?

У меня нет аккаунта, я хочу Зарегистрироваться

How much to ban the user?
1 hour 1 day 100 years