• Найти область определения функции, пожалуйста)

    question img

Ответы 1

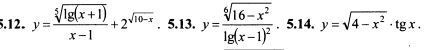
  • 5.12{x+1>0⇒x>-1{x-1≠0⇒x≠1{10-x≥0⇒x≤10x∈(-1;1) U (1;10]5.13{(4-x)(4+x)≥0⇒-4≤x≤4{x-1≠0⇒x≠1{lg(x-1)²≠0⇒(x-1)²≠1⇒x-1≠-1 U x-1≠1⇒x≠0 U x≠2x∈[-4;0) U (0;1) U (1;2) U (2;4]5,14{(2-x)(2+x)≥0⇒-2≤x≤2{-π/2+πn<x<π/2+πn,n∈zx∈[-2;-π/2) (-π/2;π/2) U (π/2;2]
  • Добавить свой ответ

Войти через Google

или

Забыли пароль?

У меня нет аккаунта, я хочу Зарегистрироваться

How much to ban the user?
1 hour 1 day 100 years