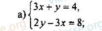
• решите систему уравнений методом сложения все подробно распишите.пожалуйста очень очень срочно

    question img

Ответы 1

  • складываем иксы с иксами и игреки с игреками, получим +3х и -3х взимоуничтожаются, остается  3у=12 у=12:3у=4теперь чтобы найти х надо подставить у в одно из уравнений 3х+4=43х=0х=0
    • Автор:

      anayaixof
    • 6 лет назад
    • 0
  • Добавить свой ответ

Войти через Google

или

Забыли пароль?

У меня нет аккаунта, я хочу Зарегистрироваться

How much to ban the user?
1 hour 1 day 100 years