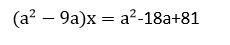
• при якому значенні а рівняння немаэ коренів , маэ безліч коренів

    question img

Ответы 1

  • Если а=9, то х - любое число 0х=0не имеет корней не помню в каком случае.
  • Добавить свой ответ

Войти через Google

или

Забыли пароль?

У меня нет аккаунта, я хочу Зарегистрироваться

How much to ban the user?
1 hour 1 day 100 years