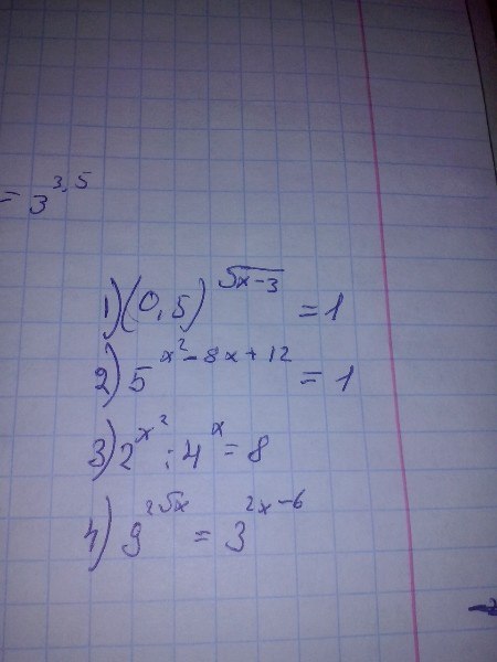
• Решите пожалуйста эти ребусы)) (Показательные уравнения)

    question img

Ответы 3

  • извини но мне кажется что во втором ошибка
    • Автор:

      gerardo55
    • 6 лет назад
    • 0
  • а не всё нормально
    • Автор:

      pb&jwoix
    • 6 лет назад
    • 0
  • решение на фото...................
    answer img
    • Автор:

      luis761
    • 6 лет назад
    • 0
  • Добавить свой ответ

Еще вопросы

Войти через Google

или

Забыли пароль?

У меня нет аккаунта, я хочу Зарегистрироваться

How much to ban the user?
1 hour 1 day 100 years