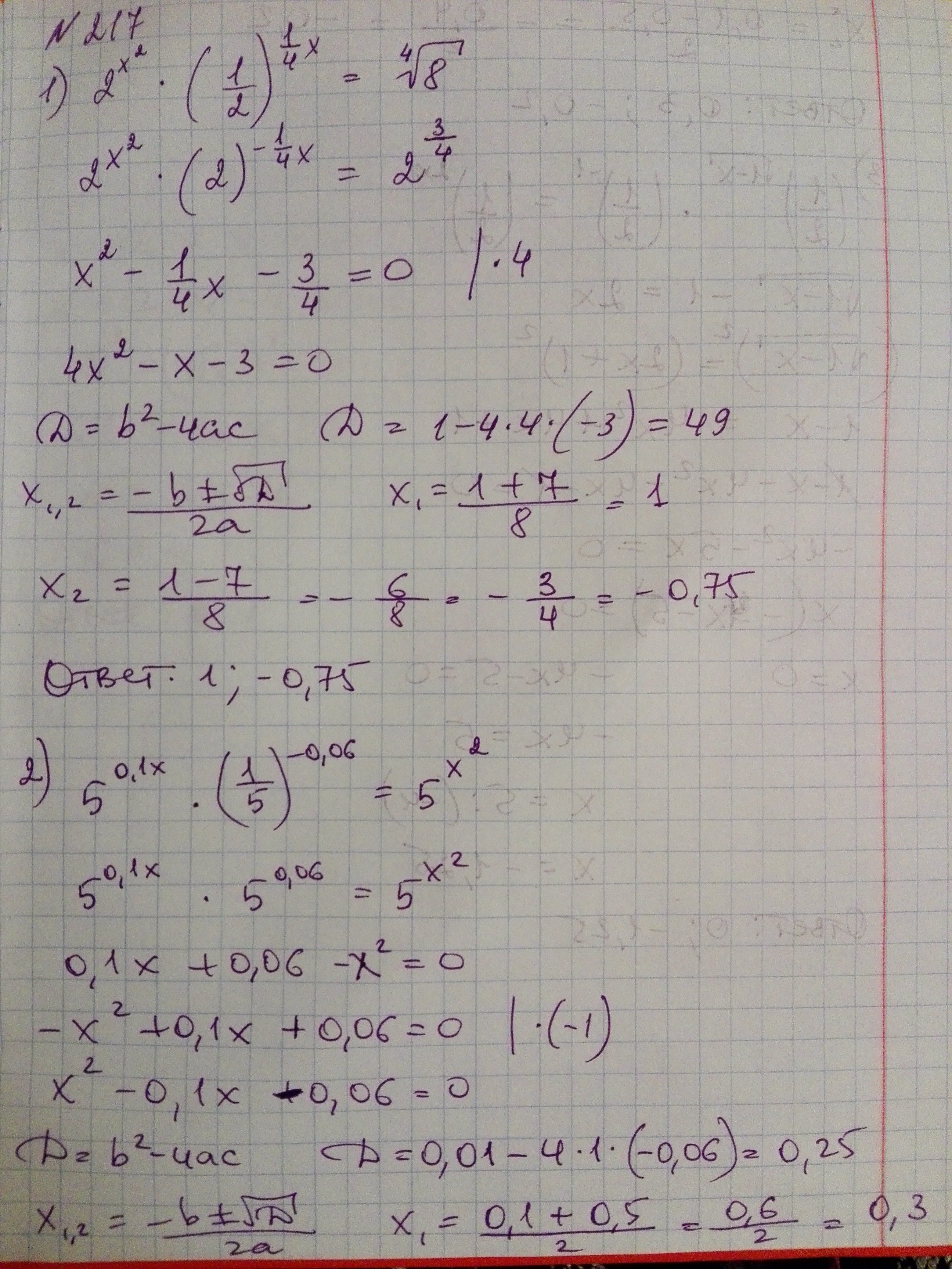
• Ребят помогите решить, срочно надо

    Решить надо 217 весь, и 218(2, 4)
    Очень надо

    question img

Ответы 1

  • Насчет №218(4) не уверена.......
    answer img
    answer img
    answer img
    answer img
    answer img
  • Добавить свой ответ

Войти через Google

или

Забыли пароль?

У меня нет аккаунта, я хочу Зарегистрироваться

How much to ban the user?
1 hour 1 day 100 years