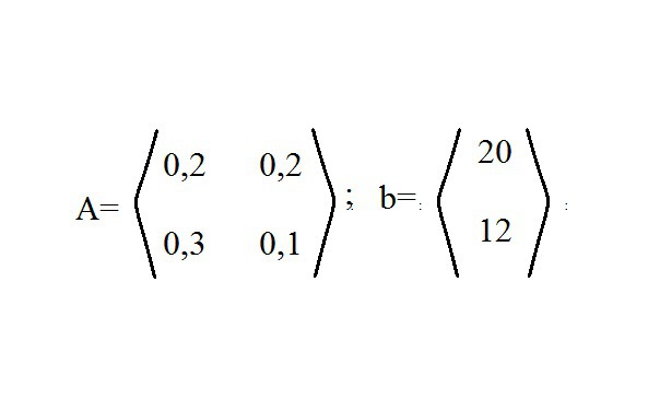
• Заданы матрица прямых затрат А, товарный вектор b для экономической системы, состоящий из двух предприятий. Требуется определить вектор плана. (рис 1)

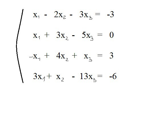
    Исследовать, будет ли система уравнений совместна и в случае совместности решить ее методом Гаусса. (рис. 2)

    question img
    question img

Ответы 1

  • 1. Вопрос не из школьной программы.2. Решение системы уравнений методом Гаусса.В приложении и порядок действий и результаты преобразований и ответы.
    answer img
  • Добавить свой ответ

Войти через Google

или

Забыли пароль?

У меня нет аккаунта, я хочу Зарегистрироваться

How much to ban the user?
1 hour 1 day 100 years