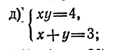
• решите, пожалуйста. система не имеет решения, но как расписать?

    question img

Ответы 3

  • И что?
  • xy=4x+y+1=4xy=x+y+1xy-x=y+1x(y-1)=y+1x=(y+1)/(y-1)(y+1)/(y-1)*y=(y^2+y)/y-1=4y^2+y=4y-4y^2-3y+4=03+-корень из 9-4*4= 3+- корень из -7. Нельзя брать корень из отрицательного числа.
  • корень из отрицательного не извлекается
  • Добавить свой ответ

Еще вопросы

Войти через Google

или

Забыли пароль?

У меня нет аккаунта, я хочу Зарегистрироваться

How much to ban the user?
1 hour 1 day 100 years