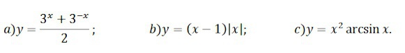
• Установите, какие из указанных функций являются
    чётными, нечётными или не являются ни чётными, ни нечётными.

    question img

Ответы 1

  • а - четная функция,b - не четная и не нечетная,с - нечетная.
    • Автор:

      marley28
    • 6 лет назад
    • 0
  • Добавить свой ответ

Войти через Google

или

Забыли пароль?

У меня нет аккаунта, я хочу Зарегистрироваться

How much to ban the user?
1 hour 1 day 100 years