• Помогите пж срочно, это задание на сложение отрицательных чисел.

    question img

Ответы 1

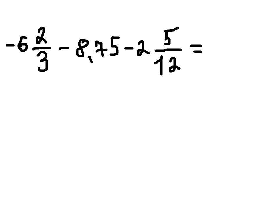
  • -20/3-35/4-29/12=(-80-105-29)/12=-214/12-107/6=-17 5/6
    • Автор:

      koba
    • 6 лет назад
    • 0
  • Добавить свой ответ

Войти через Google

или

Забыли пароль?

У меня нет аккаунта, я хочу Зарегистрироваться

How much to ban the user?
1 hour 1 day 100 years