• Иррациональное уравнение помогите
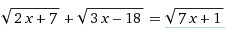
    Sqrt[2x+7]+Sqrt[3x-18]=Sqrt[7x+1]

    question img

Ответы 1

  • √ ( 2x + 7 ) + √ ( 3x - 18 ) = √ ( 7x + 1 )( √ ( 2x + 7 ) + √ ( 3x - 18 )) ² = ( √ 7x + 1 ) ²2x + 7 + 3x - 18 + 2√( ( 2x + 7 )( 3x - 18 )) = 7x + 1 2√ ((2x + 7)( 3x - 18 )) = 7x + 1 - 5x + 11 2√(( 2x + 7 )( 3x - 18 )) = 2x + 12 √ (( 2x + 7 )( 3x - 18 )) = x + 6 ( √ (( 2x + 7 )( 3x - 18 ))² = ( x + 6 )²( 2x + 7 )( 3x - 18 ) = x² + 12x + 36 6x² - 36x + 21x - 126 = x² + 12x + 36 6x² - 15x - 126 = x² + 12x + 36 5x² - 27x - 162 = 0 D = 729 + 3240 = 3969 = 63²X1 = ( 27 + 63 ) : 10 = 9 X2 = ( 27 - 63 ) : 10 = - 3,6 ОДЗ : 2x + 7 ≥ 0 ; x ≥ - 3,5 3x - 18 ≥ 0 ; x ≥ 6 7x + 1 ≥ 0 ; x ≥ - 1/7 ОТВЕТ ( - 3,6 ) ; 9
    • Автор:

      conner298
    • 6 лет назад
    • 0
  • Добавить свой ответ

Войти через Google

или

Забыли пароль?

У меня нет аккаунта, я хочу Зарегистрироваться

How much to ban the user?
1 hour 1 day 100 years