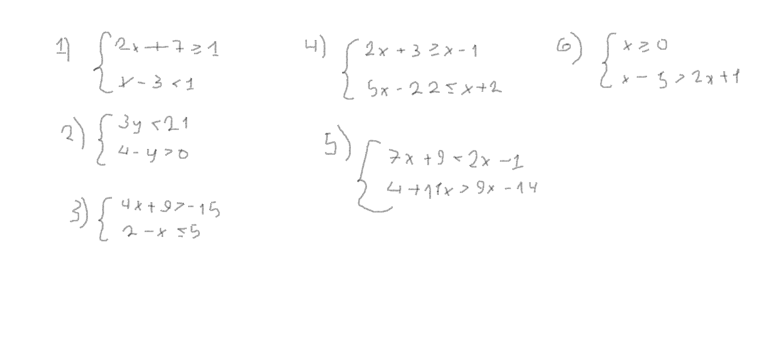
ребят помагите пожалуста решить задания тема решение системы линейных неравенст с одной переменной желательно с фото
Предмет:
МатематикаАвтор:
monabarryРешение систем неравенств смотри во вложении)удачи)
Автор:
mateo1if8Добавить свой ответ
Известно,что sina=0,6,а tga= -0,75.Найдите cosa.Спасибо
Предмет:
МатематикаАвтор:
mayhutchinsonОтветов:
Смотреть
Чем занимались русские крестьяне 15 века?
Предмет:
ГеометрияАвтор:
germán7uazОтветов:
Смотреть
Почему стихотворение о маленьком мальчике, у которого отец на войне, автор В. Берестов назвал его «Мужчина»?
Предмет:
ЛитератураАвтор:
absalónОтветов:
Смотреть