• Помогите пожалуйста решить уравнения
    заранее спасибо)

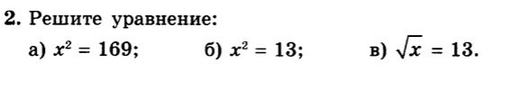
    question img

Ответы 2

  • 1) x=132) нет решения
  • а)х=13б)х=√13в)х=169
  • Добавить свой ответ

Еще вопросы

Войти через Google

или

Забыли пароль?

У меня нет аккаунта, я хочу Зарегистрироваться

How much to ban the user?
1 hour 1 day 100 years