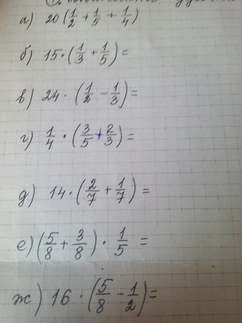
• Вычислите удобным способом

    Помогите пожалуйста

    question img
    question img

Ответы 2

  • Спасибо !!!
  • а)20*(10/20+4/20+5/20)=20*19/20=19б)15*(5/15+3/15)=15*8/15=8в)24*(3/6-2/6)=24*1/6=4г)1/4*(9/15+10/15)=1/4*19/15=19/60д)14*3/7=6е)1*1/5=1/5ж)16*(5/8-4/8)=16*1/8=2
  • Добавить свой ответ

Войти через Google

или

Забыли пароль?

У меня нет аккаунта, я хочу Зарегистрироваться

How much to ban the user?
1 hour 1 day 100 years