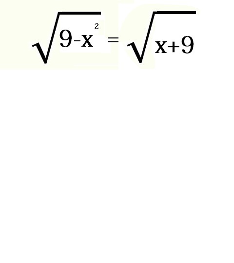
• под корнем √9-x^2= под корнем √x+9
    Помогите решить, с решением!!!

    question img
    question img

Ответы 1

  • √9-x^2 =√x+9

    (√9-x^2)^2 =(√x+9)^2

    9-x^2 =x+9

    x+x^2=0

    x*(1+x)=0                  -    это произведение значит:

    1)x=0

    2)1+x=0

    x=-1

    Ответ:x=0 x=-1

    • Автор:

      ariadna
    • 6 лет назад
    • 0
  • Добавить свой ответ

Войти через Google

или

Забыли пароль?

У меня нет аккаунта, я хочу Зарегистрироваться

How much to ban the user?
1 hour 1 day 100 years