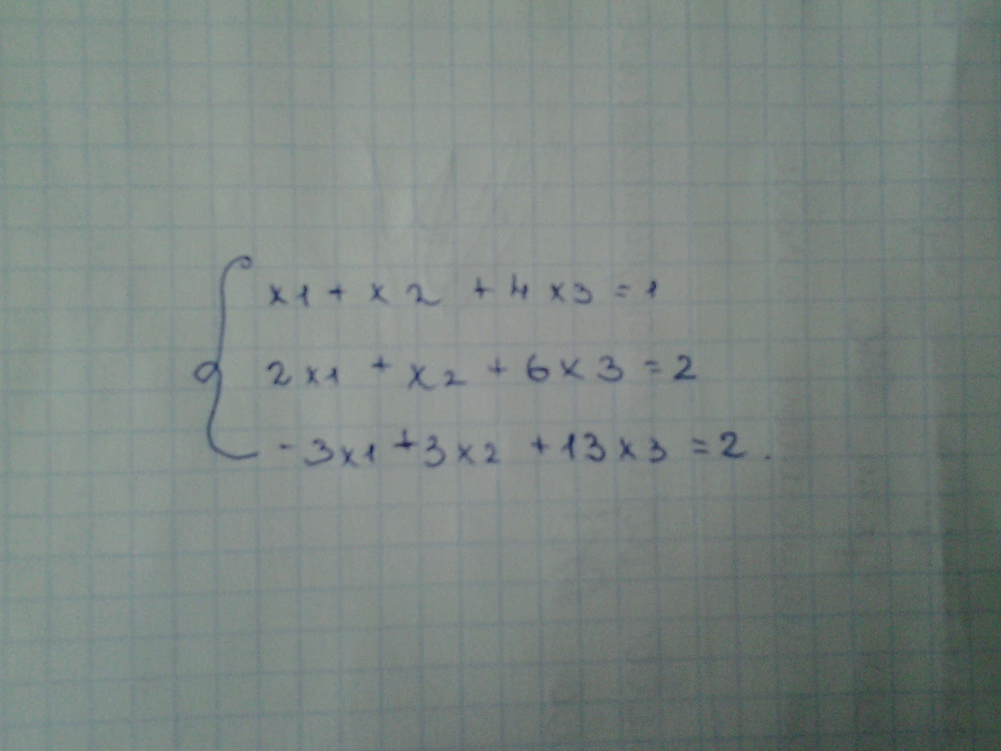
• пожалуйста ребят, помогите решить уравнение методом Кремера))) буду очень благодарна)))

    question img

Ответы 1

  • Вот, только Крамер, а не Кремер
    answer img
    • Автор:

      ada
    • 6 лет назад
    • 0
  • Добавить свой ответ

Войти через Google

или

Забыли пароль?

У меня нет аккаунта, я хочу Зарегистрироваться

How much to ban the user?
1 hour 1 day 100 years