• помогите решить, что делать с t если оно не полное число...

    question img

Ответы 2

  • Ну а потом подставить t естественно
    • Автор:

      douglas71
    • 6 лет назад
    • 0
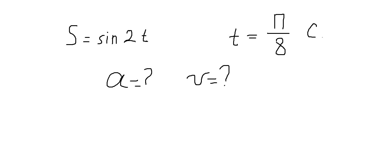
  • Я думаю тут не это просят. Можно же решать через производную, смекаешь?V = 2cos2ta = -4sin2t
  • Добавить свой ответ

Войти через Google

или

Забыли пароль?

У меня нет аккаунта, я хочу Зарегистрироваться

How much to ban the user?
1 hour 1 day 100 years