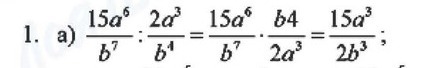
• Объясните почему из b в четвёртой степени получается b умножить на 4

    question img

Ответы 1

  • Из b в четвёртой степени никак не может получиться b х 4. b в чётвёртой = b x b x b x b
  • Добавить свой ответ

Войти через Google

или

Забыли пароль?

У меня нет аккаунта, я хочу Зарегистрироваться

How much to ban the user?
1 hour 1 day 100 years