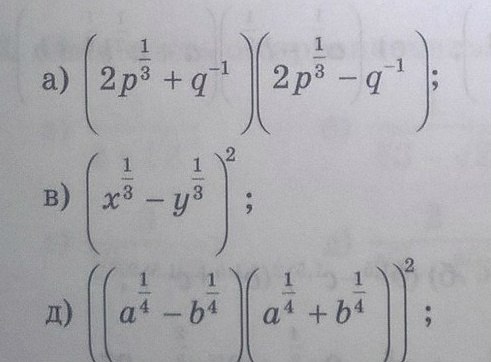
• Запишите выражения в виде суммы. Выберу лучший ответ.

    question img

Ответы 2

  • a) 4p^1/3 - 2q^-2в) x^2/3 - 2*x^1/3*y^1/3 + y^2/3д) a - 2*a^1/2*b^1/2 + b
    • Автор:

      ayden420
    • 6 лет назад
    • 0
  • Ответ в приложении (&/$#@/$#/$@
    answer img
  • Добавить свой ответ

Войти через Google

или

Забыли пароль?

У меня нет аккаунта, я хочу Зарегистрироваться

How much to ban the user?
1 hour 1 day 100 years