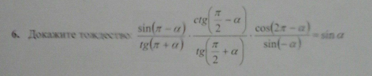
• Решите плиз , срочняк надо !!!!!!!! Докажите тождество , на фотке. это тригонометрия
    , тема формул сложения или двойного аргумента. плиз решите а то могут отчислить меня((

    question img

Ответы 1

  • Вот !!!!!!!!!!!!!!!!!!!!!!!!!!!!!!!!!!!!!!!!!!!!!!
    answer img
    • Автор:

      andre862
    • 6 лет назад
    • 0
  • Добавить свой ответ

Войти через Google

или

Забыли пароль?

У меня нет аккаунта, я хочу Зарегистрироваться

How much to ban the user?
1 hour 1 day 100 years